Pelan Tindakan Kebakaran
Tindakan sederhana membuka dan menutup lensa. Sejak tahun 1991 jerebu telah menjadi masalah yang meruncing di Asia Tenggara kebakaran hutan di Indonesia yang dibakar bagi membersihkan tanah menjadi punca.

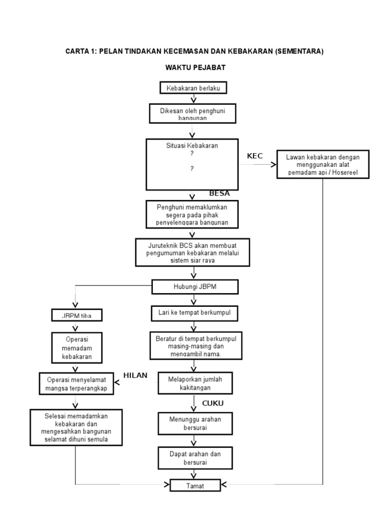
Pelan Tindakan Kecemasan Kebakaran
2

Pelan Tindakan Kecemasan 2 Blog Rom S Hillfiger
12 Pelan Lantai Stor 13 Pelantikan a Pegawai Stor b Pegawai Pelulus c.
Pelan tindakan kebakaran. Ketetapan yang ditegaskan melalui kenyataan YB Presiden PAS juga mengambil kira panduan yang diberikan oleh Majlis Syura Ulamak. Kementerian Tenaga dan Sumber Asli KeTSA bercadang menubuhkan Skuad Keselamatan Elektrik bagi memberi kesedaran berhubung penggunaan tenaga elektrik dalam masa terdekat bagi memberi kesedaran pada anggota masyarakat. Sekedar diketahui saat ini Kabupaten Lebak melaksanakan Pilkades serentak di.
Beruntung kondisi ketiganya membaik tak lama setelah dievakuasi. Setibanya di bawah Tim SAR langsung melakukan tindakan perawatan darurat terhadap ketiga pendaki. PERIKATAN Nasional menyambut baik keputusan Jawatankuasa Kerja PAS Pusat yang bersetuju untuk menggunakan lambang Perikatan Nasional PN dalam Pilihan Raya Negeri Melaka.
SuaraSumselid - Kepolisian Daerah atau Polda Sumsel berhasil menangkap 22 pelaku pencurian buah sawit di lahan milik PT Lonsum Mangsang Kecamatan Bayung Lencir Kabupaten Muba Sumatera Selatan Senin 26102021. KUALA LUMPUR - Pemilik serta 48 pengunjung sebuah pusat hiburan dikompaun sebanyak RM265000 menerusi operasi yang dijalankan Jabatan Pencegahan Jenayah dan Keselamatan Komuniti Kuala Lumpur di ibu kota pada Sabtu. Tindakan pelarasan stok jika terdapat stok lebih atau kurang.
Menterinya Dato Seri Takiyuddin Hassan berkata skuad berkenaan akan berperanan bagi memberi kesedaran. Pelan Strategik ini merupakan usaha berterusan JKDM bagi memantapkan sistem penyampaian dalam menyediakan perkhidmatan terbaik bagi memenuhi kehendak pemegang taruh stakeholders dan pelangganWarga JKDM akan terus memberikan perkhidmatan yang terbaik kepada masyarakat dan komuniti perniagaan khususnya pelanggan jabatan bagi memastikan semua urusan berjalan dengan. Selain mengamankan 22 orang tersangka polisi juga menyita barang bukti berupa mobil dump truk tujuh sepeda motor dua unit angkongsorong satu buah.
A B B Y Yc A B B Y Yc INPUT 34 PENCEGAHAN KEBAKARAN Pencegahan kebakaran merupakan satu tindakan langkah awal yang mesti diambil bagi mengelakkan api kebakaran daripada berlaku dan juga langkah awal bagi mengelakkan kebakaran yang baru bermula infant stage daripada merebak kepada peringkat yang boleh dikawal lagi uncontrollable stage 341 Pengurusan risiko. 22 Kawalan Kebakaran a Alat Pemadam Api b Penunjuk Arah dan Tanda-tanda Keselamatan c. Pelan Tindakan Kebakaran HRPZ 2019 - 2021 Buku Panduan Operasi Banjir HRPZ 2020-2021 - updated Dis 2020 Buku Panduan Jabatan Patologi 2018 Nota Serah Tugas.
Begitu pula dengan Adit yang kakinya sempat kram sudah bisa jalan pelan-pelan walaupun agak terpincang. Pinjaman ini diwujudkan untuk membantu pelanggan kami secara kewangan dengan tujuan untuk mengurangkan beban kewangan. Membuka Kertas Siasatan ke atas setiap kes yang diperolehi bagi tujuan diambil tindakan menghukum ke atas mana-mana orang yang ditangkap kerana melakukan kesalahan penyeludupan dan penyelewengan samada melalui tindakan pendakwaan di.
Terdapat beberapa jenis kecemasan yang memerlukan pelan tindakan keselamatan diadakan seperti kebakaran letupan bencana alam keracunan kebocoran toksid. PELAN TINDAKANPELAN TINDAKAN KESELAMATAN PTKKESELAMATAN PTK adalah untuk menyediakan orang dan organisasi terhadap kecemasan untuk mencegah kecederaan dan kerosakan harta benda. Dasar Kebudayaan Negara DAKEN 2021 yang dilancar semalam dilengkapi 39 strategi dan 95 pelan tindakan sepanjang lima tahun tempoh pelaksanaannya kata Menteri Pelancongan Seni dan Budaya MOTAC Datuk Seri Nancy Shukri.
Citra udara lanskap atau wawasan tentang kehidupan orang. Senyawa kimia formaldehida juga disebut metanal atau formalin merupakan aldehida dengan rumus kimia H 2 CO yang berbentuknya gas atau cair yang dikenal sebagai formalin atau padatan yang dikenal sebagai paraformaldehyde atau trioxaneFormaldehida awalnya disintesis oleh kimiawan Rusia Aleksandr Butlerov tahun 1859 tetapi diidentifikasi oleh Hoffman tahun 1867. SuaraBantenid - Kepala Kepolisian Daerah Kapolda Banten Irjen Rudy Heriyanto mengklaim pelaksanaan pemilihan kepala desa serentak di Kabupaten Lebak berjalan dengan kondusif.
Sebagai tindak balas pada jerebu 1997 di Asia Tenggara itu negara-negara ASEAN bersetuju dengan Pelan Tindakan Jerebu Serantau 1997. Pendaki atas nama Sinta Dewi yang keseleo sudah bisa langsung pulang. Manual Panduan Pengguna Icewarp Aplikasi Mudahalih Android Manual.
Kira-kira 200 kawasan di bandar raya ini Kulai dan Iskandar Puteri mengalami gangguan bekalan air luar jangka berikutan dua unit transformers di Loji Air Semangar Jalan Kulai-Kota Tinggi di Kota Tinggi terbakar semalam. KUALA LUMPUR Nov 22 -- Malaysia is of the view that the Association of Southeast Asian Nations ASEAN and China should work together in the fields of economy transformation and infrastructure as well as connectivity to ensure the supply chain remains unimpeded and can continue to grow in terms. PELAN TINDAKAN KEBAKARAN DAN PROSEDUR EVAKUASI 2018 108 ALAT PEMANDAN API CARA MENGGUNAKAN ALAT PEMANDAM API P Pull The Pin Tarik Pin A Aim The Fire Halakan Muncung Ke Pangkal Api S Squeeze The Handle Picit Tangkai Untuk Lepaskan Bahan Pemandam S Sweep Side To Side Hayunkan Muncung Ke Kiri Dan Ke Kanan Pastikan arah angina.
Pasukan Tindakan Kecemasan ERT dan menyediakan Pelan Tindakan Kecemasan ERP maka garis panduan ini di buat untuk membantu PTJ membentuk Pasukan Tindakan Kecemasan ERT dan menyediakan Pelan Tindakan Kecemasan ERP yang seragam bagi semua PTJ di Universiti Teknologi Malaysia. 2 Negara 3 Alamat. Ranhill SAJ Sdn Bhd menerusi hantaran di laman Facebook rasminya hari ini memaklumkan antara kawasan terjejas melibatkan Senai Skudai Pulai.
Tiada kata sepakat dicapai selepas rundingan kerana PKM enggan menerima pelan damai kerajaan dan meneruskan gerakan bersenjata. Pelan Antirasuah Organisasi JKDM. Pelan Tindakan Bencana Dalaman Kebakaran 1.
Apa pun sebabnya pelanggan boleh mencari pelan pinjaman yang sesuai dari syarikat kami yang memenuhi keperluan kewangan. Kebakaran Bencana Alam dan Kehilangan. Beliau berkata pemantauan akan dilakukan terhadap setiap program yang dianjurkan sepanjang tempoh pelaksanaan dasar tersebut.
Tunku telah menarik balik. Pelan Tindakan Strategik JKDM. Perikatan Nasional yakin keputusan PAS mencerminkan.
Pelan Tindakan Bencana Dalaman Kebakaran Edisi Ke 3 Pelan Tindakan Kecemasan Bencana Dalaman Telekomunikasi. ASEAN China should work together in ensuring supply chain continues to grow - Ismail Sabri. Oleh SALMAH MAT HUSAIN KOTA BHARU.

Pelan Tindakan Insiden Pdf Free Download

Pesps734 Prosains Plan Tindakan Kecemasan Tanpa Pemasangan
1
Pelan Tindakan Kecemasan Kebakaran Pdf
![]()
Kebakaran

Pelan Tindakan Kecemasan

1 Polisi Pelan Tindakan Kebakaran Hospital Teluk Intan Review By
2
You have just read the article entitled Pelan Tindakan Kebakaran. You can also bookmark this page with the URL : https://teaganseutro.blogspot.com/2022/03/pelan-tindakan-kebakaran.html
Belum ada Komentar untuk "Pelan Tindakan Kebakaran"
Posting Komentar